Ableitung E Funktion Mathebibel De
Ex 7 6 3 Integrate X 2 E X Chapter 7 Class 12 Ncert
Ex 7 11 19 Show F X G X Dx 2 F X F X F A X Ex 7 11
Bildungsgesetz Ermitteln N Te Ableitung Von G X E X 2 Mathelounge
Https Ocw Mit Edu Resources Res 6 012 Introduction To Probability Spring 2018 Part I The Fundamentals Mitres 6 012s18 L13as Pdf
Ex 7 9 20 Direct Integrate X Ex Sin Pi X 4 Dx Ex 7 9
Solved 1 Differentiate The Following Functions A F X Chegg Com
If F X E 2x G X Log X What Is Fog X Quora
Solved Determine The Domain Of The Following Functions G Chegg Com
Ex 7 6 21 Integrate E 2x Sin X Using Integration By Parts
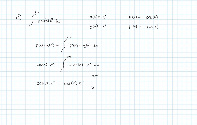
Partielle Integration Von Cos X E X Mathelounge
Https Www Stat Auckland Ac Nz Fewster 325 Notes Ch3annotated Pdf
Https Ocw Mit Edu Courses Economics 14 30 Introduction To Statistical Methods In Economics Spring 2009 Assignments Mit14 30s09 Sol Pset06 Pdf
Finding The Derivative Of A Function With E X Kristakingmath Youtube
If F X E X And G X Log X Then Fog X Is Quora
How Can E X Seemingly Approach 0 As X Approaches Negative Infinity Mathematics Stack Exchange
Review
7 4 Logarithmic Differentiation
2
Graph F X Ex And G X E X Common Graph Mathematics